Πέμπτη 26 Μαρτίου 2026
weather-icon 21o
Βασανιστήρια, παρακρατικές ομάδες και βίαιες επαναπροωθήσεις από τις ελληνικές αρχές εντόπισε ο εσωτερικός έλεγχος της Frontex

Βασανιστήρια, παρακρατικές ομάδες και βίαιες επαναπροωθήσεις από τις ελληνικές αρχές εντόπισε ο εσωτερικός έλεγχος της Frontex

Τέσσερα πρόσφατα πορίσματα του Γραφείου Θεμελιωδών Δικαιωμάτων της Frontex επιβεβαιώνουν πολλαπλές παραβιάσεις από τις ελληνικές αρχές.

Παρακρατικές ομάδες που πραγματοποιούν βίαιες επαναπροωθήσεις, περιπτώσεις βασανιστήριων και πολλαπλές παραβιάσεις Θεμελιωδών Δικαιωμάτων από τις ελληνικές αρχές περιγράφονται σε τέσσερα πορίσματα από έρευνες που πραγματοποίησε η εποπτική αρχή της Frontex.

Οι τέσσερις Αναφορές Σοβαρού Συμβάντος (SIR) του Γραφείου Θεμελιωδών Δικαιωμάτων, της ανεξάρτητης αρχής που δρα στο εσωτερικό της Frontex και η οποία επιβλέπει τη συμμόρφωση της ευρωπαϊκής συνοριοφυλακής και των εθνικών σωμάτων ασφαλείας με τον Χάρτη Θεμελιωδών Δικαιωμάτων της ΕΕ, παραδόθηκαν στην υπηρεσία σε διάφορες ημερομηνίες από τις 18/12/2025 μέχρι τις 13/2/2026.

Οι έρευνες του Γραφείου Θεμελιωδών Δικαιωμάτων για τα συγκεκριμένα περιστατικά τεκμηρίωσαν ανησυχητικά ευρήματα, τα οποία, πέρα από περιπτώσεις βασανιστηρίων, περιλαμβάνουν και τη σύμπραξη παρακρατικών ομάδων σε συνεργασία με τις ελληνικές αρχές για την πραγματοποίηση επαναπροωθήσεων.

Και τα τέσσερα πορίσματα σημειώνουν παράλληλα την απροθυμία των ελληνικών αρχών να συνεργαστούν για τη διερεύνηση και διαλεύκανση των περιστατικών.

Παρακρατικοί, ρόπαλα και μαχαίρια

Ένα εφιαλτικό σκηνικό περιγράφεται στην πρώτη Αναφορά που αφορά υπόθεση βίαιης επαναπροώθησης στις 22/6/2023. Συγκεκριμένα, ομάδα 61 μεταναστών, συμπεριλαμβανομένων 11 ανηλίκων, διέσχισε τον Έβρο στην περιοχή της Ορεστιάδας.

Όταν οι αρχές ειδοποιήθηκαν για την άφιξή τους, κατέφτασε ομάδα δεκαπέντε-είκοσι αγνώστων μασκοφόρων με ρόπαλα και μαχαίρια που επιτέθηκε στους μετανάστες, τους απώθησε στις όχθες του ποταμού, τους απέσπασε τα κινητά τηλέφωνα και τα υπάρχοντα και τους φόρτωσε σε φουσκωτά που τους απέλασαν πίσω στην Τουρκία, όπου τους περίμεναν να τους παραλάβουν οι τουρκικές αρχές – ακριβώς στο σημείο άφιξης. Σύμφωνα με τα ευρήματα της έρευνας, επίσης, οι ένοπλοι μασκοφόροι δρούσαν υπό την καθοδήγηση τριών Ελλήνων αστυνομικών.

Η έρευνα του Γραφείου Θεμελιωδών Δικαιωμάτων της ΕΕ επιβεβαίωσε διασταυρώνοντας πολλαπλές μαρτυρίες και οπτικοακουστικό υλικό όχι μόνο το συμβάν -το οποίο οι ελληνικές αρχές αμφισβητούν μέχρι σήμερα- αλλά και την ξεχωριστή βιαιότητα που επέδειξε η παρακρατική ομάδα υπό την καθοδήγηση των αστυνομικών.

Στα γεγονότα που η έρευνα του Γραφείου καταλήγει ότι επιβεβαιώνονται απαριθμούνται τα εξής:

  • Γροθιές και κλωτσιές σε σώματα και κεφάλια – κλωτσιά στην κοιλιά εγκύου γυναίκας.
  • Ξυλοδαρμός με ρόπαλα, κοψίματα και μαχαιριές, χτύπημα στα πλαϊνα του κεφαλιού με όπλο, απειλές με πολυβόλα, προειδοποιητικές βολές κατά μετανάστη που επιχείρησε να διαφύγει.
  • Απειλές θανάτου, απειλές βιασμού κατά μίας γυναίκας, σεξουαλική κακοποίηση κατά τη διάρκεια παραβιαστικού σωματικού ελέγχου, παραβιαστικός και σεξουαλικοποιημένος σωματικός έλεγχος των παιδιών.
  • Εξαναγκασμός των δεμένων με zip-tie μεταναστών να καθίσουν γονατιστοί στο έδαφος για παρατεταμένα διαστήματα – εξαναγκασμός των μεταναστών να μείνουν ξαπλωμένοι μπρούμυτα σε χωματόδρομο.
  • Άρνηση παροχής φαρμάκων και ειδών υγιεινής για γυναίκες.
  • Ρίψη μεταναστών από τις φουσκωτές λέμβους στο νερό, κράτημα του κεφαλιού ενός μετανάστη κάτω από την επιφάνεια με σκοπό τον πνιγμό.

Ιδιαίτερο ενδιαφέρον στη διερεύνηση της υπόθεσης παρουσιάζουν οι πολλαπλές μαρτυρίες ότι οι μασκοφόροι με τα ρόπαλα και τα μαχαίρια που καθοδηγούσαν οι Έλληνες αστυνομικοί μιλούσαν γλώσσες από χώρες της Κεντρικής Ασίας -πιθανότατα Αφγανοί, ίσως Ουζμπέκοι ή Πακιστανοί-, η μαρτυρία ότι ένας από αυτούς που ενώθηκε με την ομάδα των μασκοφόρων ήταν ο ίδιος ο διακινητής και τα πολλαπλά ερωτήματα που τίθενται για την πιθανότητα συνεννόησης των ελληνικών με τις τουρκικές αρχές, όπως προκύπτει από την εμφάνιση των τουρκικών αρχών στο σημείο άφιξης των λέμβων.

Αξιοσημείωτο είναι επίσης το γεγονός ότι η επαναπροώθηση αγνόησε την προσωρινή διαταγή που εξέδωσε το Ευρωπαϊκό Δικαστήριο Δικαιωμάτων του Ανθρώπου, η οποία διέταζε την παραμονή των ανθρώπων στην Ελλάδα μέχρι την εξέταση της υπόθεσης.

Μάλιστα, ανιχνεύοντας την πορεία αυτών των ανθρώπων, μεγάλο μέρος του κατέληξε να φυλακίζεται με κατηγορίες τρομοκρατίας στην Τουρκία, καθώς πολλοί ήταν Κούρδοι ή άνθρωποι που είχαν στοχοποιηθεί από την τουρκική κυβέρνηση ως υποστηρικτές του Φετουλάχ Γκιουλέν.

Όπως σημειώνει το Γραφείο Θεμελιωδών Δικαιωμάτων, η παραβίαση της προβλεπόμενης ατομικής εξέτασης κάθε αιτήματος ασύλου και η επακόλουθη επαναπροώθηση, «εξέθεσε τα μέλη της ομάδας στον κίνδυνο απάνθρωπης και εξευτελιστικής μεταχείρισης μέσα από τη φυλάκισή τους για πολιτικούς λόγους».

Αντίστοιχη παραβίαση του άρθρου του Χάρτη Θεμελιωδών Δικαιωμάτων της ΕΕ για την προστασία από την απάνθρωπη και εξευτελιστική μεταχείριση εντοπίζεται και στα πεπραγμένα των μασκοφόρων. Η δε επαναπροώθησή τους συνιστά παραβίαση και των δύο παραγράφων του άρθρου 19 του Χάρτη για την προστασία σε περίπτωση απομάκρυνσης, απέλασης και έκδοσης που δηλώνει σαφώς ότι απαγορεύονται οι συλλογικές απελάσεις και ότι κανείς δεν μπορεί να απελαθεί προς κράτος που διατρέχει κίνδυνο απάνθρωπης και εξευτελιστικής μεταχείρισης.

Η «τετρακίνηση» του… βαν

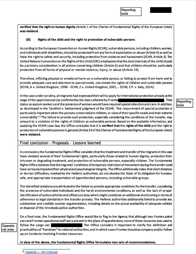
Στο δεύτερο περιστατικό που φαίνεται να έλαβε χώρα στις 24 Ιουνίου του 2025 στον Έβρο (η τοποθεσία αποκρύπτεται στο έγγραφο), 15 μετανάστες συνελήφθησαν σε συνοριακή περιοχή, πέντε εκ των οποίων ανήλικα άτομα.

Σε συνθήκες πολύ υψηλής θερμοκρασίας και με δύο πρόσωπα σύμφωνα με την αναφορά να δείχνουν εμφανή σημάδια εξασθένησης, οι άνθρωποι τοποθετήθηκαν παρ’ όλα αυτά από αστυνομικούς χωρίς στολή στην καρότσα ενός μη-επιβατηγού βαν, χωρίς καθίσματα, εξαερισμό και παράθυρα. Όπως σημειώνεται, το εν λόγω βαν δεν έφερε κανένα διακριτικό της ΕΛΑΣ, ενώ δεν έχει εξακριβωθεί αν έφερε καν αριθμό κυκλοφορίας.

Παράλληλα, η μονάδα της Frontex εγκατέλειψε τη συνοδεία του οχήματος, παραβαίνοντας τις ενδεδειγμένες καλές πρακτικές, όπως παραδέχθηκε και μέλος της ομάδας (το αξίωμα αποκρύπτεται) στους συντάκτες της Αναφοράς.

Οι ελληνικές αρχές ισχυρίστηκαν ότι η χρήση του συγκεκριμένου οχήματος ήταν έκτακτη και απαντούσε σε ειδικές συνθήκες, καθώς απαιτούνταν όχημα με τετρακίνηση για να διαβεί τη δύσβατη περιοχή.

Ωστόσο, βάσει της έρευνας του Γραφείου Θεμελιωδών Δικαιωμάτων και της μαρτυρίας του επόπτη του Γραφείου από το περιστατικό, οι αρχες δεν παρείχαν ποτέ ταυτοποίηση του οχήματος, τα βαν αυτού του τύπου συνήθως δεν έχουν τετρακίνηση, ενώ η απόσταση που διένυσε το όχημα φαίνεται να είναι μισής ώρας και όχι πέντε λεπτών όπως ισχυρίστηκαν οι αρχές. Επίσης, τα στοιχεία που έφτασαν στο Γραφείο δείχνουν ότι η χρήση τέτοιων οχημάτων για μεταγωγή προσφύγων και μεταναστών είναι πιο συχνή απ’ ό,τι οι αρχές αφήνουν να εννοηθεί.

Η έρευνα του Γραφείου βρήκε ότι σε αυτό το περιστατικό παραβιάστηκαν τα δικαιώματα του παιδιού και των ευάλωτων ατόμων εν γένει, το δικαίωμα στην προστασία από απάνθρωπη και εξευτελιστική μεταχείριση και το δικαίωμα στην ανθρώπινη αξιοπρέπεια, όπως υπαγορεύονται από τον Χάρτη των Θεμελιωδών Δικαιωμάτων της ΕΕ. Ταυτόχρονα, οι συνθήκες μεταφοράς εκτιμάται ότι έθεσαν σε κίνδυνο τη σωματική και ψυχική ακεραιότητα των ανθρώπων.

65 άτομα σε ένα κελί

Παρόμοια συμβάντα καταγράφονται και στην τρίτη Αναφορά για περιστατικό στις 13 Ιουλίου του 2025 στο νησί της Σύμης. Περίπου 40-47 μετανάστες που κατέφτασαν στο νησί μεταφέρθηκαν σύμφωνα με μαρτυρίες «στοιβαγμένοι» στην καρότσα ενός μινι-βαν σε άτυπο χώρο κράτησης, όπου παρέμειναν με υψηλή συμφόρηση και χωρίς να πληρούνται οι επαρκείς συνθήκες υγιεινής για τρεις ολόκληρες ημέρες. Ας σημειωθεί ότι τα δελτία καιρού εκείνων των ημερών δείχνουν θερμοκρασίες 35-37 βαθμούς Κελσίου στην περιοχή.

Οι μαρτυρίες κάνουν λόγο για 65 συνολικά μετανάστες που κρατήθηκαν στο κελί επί τρεις μέρες, με πολλούς εξ αυτών να κοιμούνται στο πάτωμα. Παράλληλα, διατυπώθηκαν καταγγελίες για βίαιη συμπεριφορά από μέρους των αρχών και για απειλητικές φωνές αστυνομικού κατά οικογένειας με παιδιά. Μάλιστα, μία καταγγελία που οι συντάκτες της αναφοράς βρήκαν ότι ευσταθεί, υποστηρίζει ότι αστυνομικός χτύπησε ακόμα και τον διερμηνέα επειδή δεν ήταν ικανοποιημένος με τα αποτελέσματά του.

Η έρευνα βρήκε ότι οι ελληνικές αρχές παραβίασαν το άρθρο 4 του Χάρτη Θεμελιωδών Δικαιωμάτων για το δικαίωμα στην προστασία από την απάνθρωπη και εξευτελιστική μεταχείριση.

Αξιοσημείωτο είναι και το γεγονός ότι οι ελληνικές αρχές αντέτειναν στις κατηγορίες τη διεξαγωγή ΕΔΕ για το περιστατικό η οποία δεν βρήκε τίποτα μεμπτό. Στην έκθεση, το Γραφείο Θεμελιωδών Δικαιωμάτων τονίζει ότι η μεθοδολογία της ΕΔΕ ήταν ασαφής καθώς δεν δόθηκαν λεπτομέρειες σχετικά με την ταυτότητα των αστυνομικών που ρωτήθηκαν, το αν έγινε ακρόαση των μεταναστών και τα τεκμήρια που συλλέχθηκαν. «Αυτή η αδιαφάνεια προκαλεί ανησυχίες σχετικά με την αξιοπιστία της έρευνας», συμπληρώνουν.

Τα δύο σκάφη και η απροθυμία των αρχών

Ασαφή πλην ανησυχητικά είναι και τα ευρήματα της τέταρτης Αναφοράς για περιστατικό στη Ρόδο στις 10 Ιανουαρίου του 2025. Ομάδα 40 μεταναστών καταγγέλλει πως ακολουθήθηκε από λέμβο στην οποία επέβαιναν μασκοφόροι άνδρες με μαύρα ρούχα χωρίς διακριτικά οι οποίοι πυροβόλησαν στον αέρα για εκφοβισμό και άρχισαν να φωνάζουν στους μετανάστες, κάνοντας τους περισσότερους να πανικοβληθούν και να επιχειρήσουν να διαφύγουν. Οι καταγγελίες υποστηρίζουν ότι 10 άτομα με κινητικές δυσκολίες παρέμειναν στο σημείο και υπέστησαν ξυλοδαρμό, με έναν από τους μετανάστες να χάνει τις αισθήσεις του.

Ακολούθως, καταγγέλλουν ότι οι άνδρες τους ξαναέβαλαν στη βάρκα τους, την οποία ρυμούλκησαν μέχρι ένα σκάφος του Λιμενικού, πάνω στο οποίο υπήρχαν άνθρωποι με αντίστοιχη αμφίεση με αυτούς στη λέμβο και άλλοι με κανονικές στολές του Λιμενικού.

Στο σκάφος του Λιμενικού παρασχέθηκαν κανονικά πρώτες βοήθειες σε όσους είχαν ανάγκη και οι πιο σοβαρά τραυματισμένοι μετανάστες οδηγήθηκαν στο νοσοκομείο – πράγμα που κάνει τους μετανάστες να δυσκολεύονται να εξηγήσουν σε τι οφείλονται οι διαφορετικές συμπεριφορές που δέχθηκαν από τις δύο ομάδες -της λέμβου και του σκάφους του Λιμενικού- ενώ, κατά τα φαινόμενα, βρίσκονταν σε συνεννόηση μεταξύ τους.

Παρότι το Γραφείο Θεμελιωδών Δικαιωμάτων βρίσκει συνεκτικές μεταξύ τους τις καταθέσεις των μεταναστών, δεν δύναται να αποφανθεί τελεσίδικα για το συγκεκριμένο συμβάν. Η εξευτελιστική και απάνθρωπη μεταχείριση από την ομάδα στη λέμβο κρίνεται ως «πιθανό να έχει συμβεί», ενώ ως προς τους πυροβολισμούς θεωρείται «ασαφές» αν όντως υπήρξαν.

Ωστόσο, το μεγαλύτερο μέρος της συγκεκριμένης αναφοράς αφιερώνεται στην απροθυμία των ελληνικών αρχών να συνεργαστούν με το Γραφείο Θεμελιωδών Δικαιωμάτων. Σημειώνεται ότι ως τεκμήριο για τα συμβάντα από τις κάμερες που προβλέπονται από το Σχέδιο Κοινής Δράσης με την Frontex δόθηκε στους ελεγκτές μόνο ένα βίντεο διάρκειας 8 δευτερολέπτων που έδειχνε μόνο σκοτάδι.

Μάλιστα, οι συντάκτες της αναφοράς θεωρούν ότι το συγκεκριμένο συμβάν ενδεχομένως να αντανακλά συστηματικές πρακτικές των αρμόδιων αρχών, παρά τις επίσημες δικλείδες ασφαλείας και τις δεσμεύσεις του ελληνικού κράτους. Στις προτάσεις προς τις ελληνικές αρχές στο τέλος χαρακτηριστικά συστήνονται στην ΕΛΑΣ και το Λιμενικό η πραγματοποίηση διεξοδικών ερευνών σχετικά με κατηγορίες που αφορούν απειλές κατά της ζωής και συλλογική απέλαση μεταναστών.

Για την ακρίβεια, το μοτίβο μη-συνεργασίας των αρχών επαναλαμβάνεται και στα τέσσερα πορίσματα του Γραφείου Θεμελιωδών Δικαιωμάτων της ΕΕ.

Στην περίπτωση του συμβάντος στην Ορεστιάδα το 2023, παρά τη βαρύτητα των καταγγελιών και των ενδείξεων, η ΕΛΑΣ διέταξε ΕΔΕ η οποία δεν καθόριζε καν τι αδικήματα όφειλαν να διερευνήσουν οι αρμόδιοι αστυνομικοί.

Στη δε υπόθεση του Έβρου το 2025, δεν παρασχέθηκαν τα στοιχεία του οχήματος που χρησιμοποιήθηκε, τα στοιχεία των αστυνομικών που πραγματοποίησαν τη μεταφορά, ούτε φάνηκαν να ευσταθούν οι ισχυρισμοί περί τετρακίνησης.

Ακολουθήστε το in.gr στο Google News και μάθετε πρώτοι όλες τις ειδήσεις

in.gr | Ταυτότητα

Διαχειριστής - Διευθυντής: Λευτέρης Θ. Χαραλαμπόπουλος

Διευθύντρια Σύνταξης: Αργυρώ Τσατσούλη

Ιδιοκτησία - Δικαιούχος domain name: ALTER EGO MEDIA A.E.

Νόμιμος Εκπρόσωπος: Ιωάννης Βρέντζος

Έδρα - Γραφεία: Λεωφόρος Συγγρού αρ 340, Καλλιθέα, ΤΚ 17673

ΑΦΜ: 800745939, ΔΟΥ: ΚΕΦΟΔΕ ΑΤΤΙΚΗΣ

Ηλεκτρονική διεύθυνση Επικοινωνίας: in@alteregomedia.org, Τηλ. Επικοινωνίας: 2107547007

ΜΗΤ Αριθμός Πιστοποίησης Μ.Η.Τ.232442

Πέμπτη 26 Μαρτίου 2026
Απόρρητο