Πανελλαδικές 2021: Προτεινόμενο θέμα για τη Φυσική Προσανατολισμού
Για την καλύτερη προετοιμασία των υποψηφίων ενόψει των Πανελλαδικών Εξετάσεων, το in.gr παρουσιάζει προτεινόμενα θέματα για τα υπό εξέταση μαθήματα.
-
Ευρωπαϊκή Επιτροπή: Επίκειται ανατροπή της απαγόρευσης κινητήρων εσωτερικής καύσης
-
Ψηφιακή πλατφόρμα με τα ιστορικά πλημμυρικά δεδομένα σε όλη την Ελλάδα
-
Το ChatGPT κατηγορείται ότι ενθάρρυνε έναν ψυχικά ασθενή να σκοτώσει τη μητέρα του
-
«Δικαίωμα σιωπής» και για την «κουμπαριά» - «Φραπές» σκέτος και «φραπές» με ζάχαρη
Για την καλύτερη προετοιμασία των υποψηφίων ενόψει των Πανελλαδικών Εξετάσεων, το in.gr παρουσιάζει προτεινόμενα θέματα για τα υπό εξέταση μαθήματα.
Παρακάτω μπορείτε να δείτε προτεινόμενα θέματα και τις απαντήσεις για τη Φυσική Προσανατολισμού.
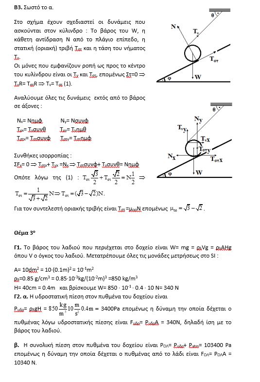
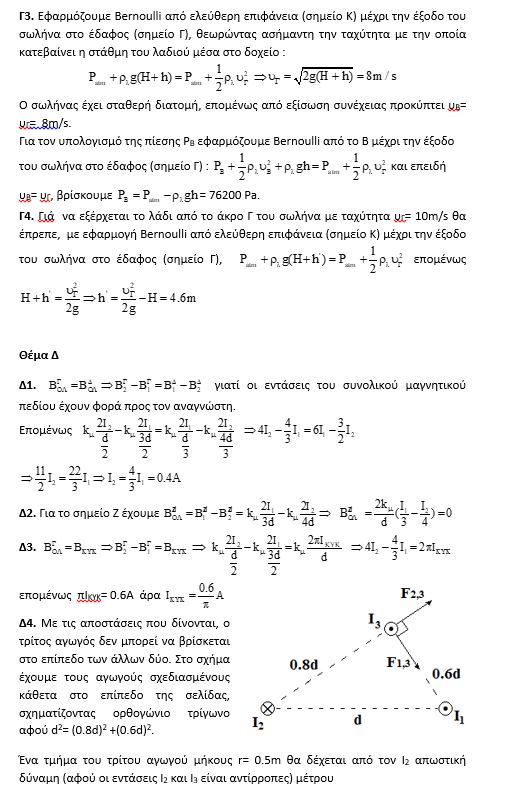
Προτεινόμενο θέμα

Απαντήσεις

- Στα «ΝΕΑ» της Παρασκευής: Η Ελλάδα επιστρέφει
- Και προνόμια υπηκοότητας «πουλάει» η χρυσή βίζα Τραμπ
- Κυριάκος Πιερρακάκης: Συγχαρητήρια από ΠΑΣΟΚ και ΣΥΡΙΖΑ
- Ασταμάτητη η Στρασμπούρ (1-0), άνετο διπλό της Πάλας στην Ιρλανδία (3-0) – Η βαθμολογία
- Βαθμολογία UEFA: Καλή συγκομιδή για την Ελλάδα, αλλά και χαμένη ευκαιρία να πλησιάσει κι άλλο την Τσεχία
- Αμερικανοί πολιτικοί ζητούν από Ισραήλ, ΗΠΑ να ερευνήσουν τον βομβαρδισμό εναντίον δημοσιογράφων στον Λίβανο
- Γκολ και highlights από τα παιχνίδια του Europa League (vids)
- Αταμάν: «Η Αρμάνι Μιλάνο έκανε ένα καταπληκτικό παιχνίδι – Συγχαρητήρια»
Ακολουθήστε το in.gr στο Google News και μάθετε πρώτοι όλες τις ειδήσεις


![Άκρως Ζωδιακό: Τα Do’s και Don’ts στα ζώδια σήμερα [Πέμπτη 11.12.2025]](https://www.in.gr/wp-content/uploads/2025/12/colton-sturgeon-6FQuEH9mcNk-unsplash-315x220.jpg)











































![Άκρως Ζωδιακό: Τα Do’s και Don’ts στα ζώδια σήμερα [Παρασκευή 12.12.2025]](https://www.in.gr/wp-content/uploads/2025/12/jake-kokot-PbDLAy38QZM-unsplash-315x220.jpg)































Αριθμός Πιστοποίησης Μ.Η.Τ.232442