Σεισμός, σεισμός, τουρισμός: Πώς επηρεάζεται το brand «Ελλάδα»
Πόσο επηρεάζεται ο τουρισμός από τους κινδύνους των φυσικών άλλα και των ανθρωπογενών καταστροφών; Ο σύνθετος Δείκτης (τουριστικής) φήμης της Ελλάδας μας δίνει μια εικόνα.
Το ότι ο τουρισμός είναι ένα ευαίσθητο και «εύθραυστο» προϊόν, που επηρεάζεται άμεσα και έμμεσα από μια σειρά παραμέτρους είναι γνωστό. Από την κλιματική αλλαγή ως τις γεωπολιτικές εντάσεις και από τις εξελίξεις στην οικονομία μέχρι τα περιβαλλοντικά ζητήματα ή τις κοινωνικές εξάρσεις, ο τουρισμός ευνοείται ή βλάπτεται ανάλογα, χωρίς όμως να υπάρχει μια γραμμική σχέση αιτίου και αιτιατού.
Ακόμα και αν η σεισμική ακολουθία στη Σαντορίνη εκτονωθεί, χωρίς να οδηγήσει σε κάποιο καταστροφικό γεγονός, ο τουρισμός βιώνει ήδη τις πρώτες – περιορισμένες προς το παρόν – επιπτώσεις. Δεν είναι τόσο οι μαζικές αποχωρήσεις από το νησί, όσο η ανησυχία για το τι μέλει να γίνει στην επόμενη τουριστική σεζόν. Προς το παρόν οι τουριστικές επιχειρήσεις και τα ταξιδιωτικά γραφεία κρατούν στάση ψυχραιμίας και αναμονής. Τα μηνύματα από την αγορά είναι ότι δεν υπήρξαν (ακόμα;) ακυρώσεις, όμως η αβεβαιότητα παραμένει καθώς το φαινόμενο βρίσκεται σε εξέλιξη.
Και μόνο ότι το «πιο ινσταγκραμικό νησί» πρωταγωνιστεί τις τελευταίες ημέρες στη διεθνή επικαιρότητα λόγω της σεισμικής δραστηριότητας αρκεί για να χτυπήσει καμπανάκι. Η έκτακτη σύσκεψη στο υπουργείο Τουρισμού, με τη συμμετοχή της διοίκησης του ΕΟΤ, προφανώς και ασχολήθηκε και με τη διαχείριση κρίσης, όχι μόνο σε πρακτικό αλλά και σε επικοινωνιακό επίπεδο.
Η διεθνής φήμη της Ελλάδας ως ταξιδιωτικό brand
Κατά πόσο ο τουρισμός βλάπτεται, όχι μόνο από τις φυσικές καταστροφές καθεαυτές αλλά και από το ενδεχόμενό τους, είναι δύσκολο να το μετρήσουμε ποσοτικά.
Μία γεύση μας δίνουν οι έρευνες του Ινστιτούτου Συνδέσμου Ελληνικών Τουριστικών Επιχειρήσεων (ΙΝΣΕΤΕ), στις τριμηνιαίες εκθέσεις για τη διεθνή τουριστική «φήμη της Ελλάδας». Πρόκειται για το «Greece Reputation Tracker», που εκπονείται σε συνεργασία με τη διεθνή εταιρεία ερευνών ΤCI research και παρακολουθεί την εξέλιξη της διαδικτυακής φήμης της χώρας, με βάση τον σύνθετο δείκτη Net Sentiment Index.
Ο δείκτης εξετάζει το περιεχόμενο των διαδικτυακών συζητήσεων για τη χώρα μας ως ταξιδιωτικό προορισμό, διαχωρίζει τις θετικές από τις αρνητικές και βγάζει ένα τελικό αποτέλεσμα για το «συναίσθημα» που προκαλεί το τουριστικό «brand» Ελλάδα στο διεθνές κοινό. Αν και η διαδικτυακή φήμη ενός «ταξιδιωτικού brand» δεν προβλέπει πού θα κατευθυνθούν οι τουριστικές ροές, μια θετική εικόνα κρίνεται απαραίτητη για να δημιουργήσει ένα ευνοϊκό κλίμα, ιδίως για την επιλογή των προορισμών.
Το τρίτο τρίμηνο του 2024, που περιλαμβάνει την κορύφωση της τουριστικής σεζόν, η Ελλάδα αναφέρθηκε σε περισσότερες από 268.000 online συζητήσεις σε σχέση με τα ταξίδια, με 2,6 εκατομμύρια αλληλεπιδράσεις και πάνω από 67.000 μοναδικούς δημιουργούς περιεχομένου, σε περισσότερες από 200 χώρες.

H Eλλάδα βαθμολογείται με 8 στα 10 σε πολιτισμό και γαστρονομία, αλλά με 3 στα 10 σε θέματα περιβάλλοντος
Τουρισμός και περιβαλλοντική κρίση
Οι επιδόσεις της Ελλάδας με βάση τον Δείκτη ΝSI ξεκίνησαν από χαμηλή βάση τον Ιούλιο, βελτιώθηκαν ελαφρά τον Αύγουστο, και ανέκαμψαν σημαντικά τον Σεπτέμβριο. Παρόμοια πορεία ακολούθησε και ο δείκτης για την Αθήνα.
Ενώ οι θετικές συζητήσεις υπερτερούν των αρνητικών, ιδίως σε θέματα πολιτισμού και γαστρονομίας, οι κλιματικές και οι περιβαλλοντικές προκλήσεις ήταν πηγές αρνητικών σχολίων. Ενδεικτικό είναι ότι στους δείκτες συναισθήματος, ενώ ο πολιτισμός, η γαστρονομία και η φιλοξενία έχουν καλές βαθμολογίες, το περιβάλλον βρίσκεται στην τελευταία θέση, με μόλις 31 βαθμούς στους 100.
Τη διεθνή φήμη της Ελλάδας έβλαψε σημαντικά το περιστατικό με τα νεκρά ψάρια στον Βόλο, σημειώνει η έρευνα. Οι πυρκαγιές κοντά στην Αθήνα και η σοβαρή ξηρασία που πλήττει γενικότερα τη νότια Ευρώπη πυροδότησαν επίσης συζητήσεις με αρνητικό πρόσημο. Αρνητικές συζητήσεις εντοπίστηκαν και σε θέματα ασφάλειας, με αφορμή περιστατικά επιθέσεων σε τουρίστες.

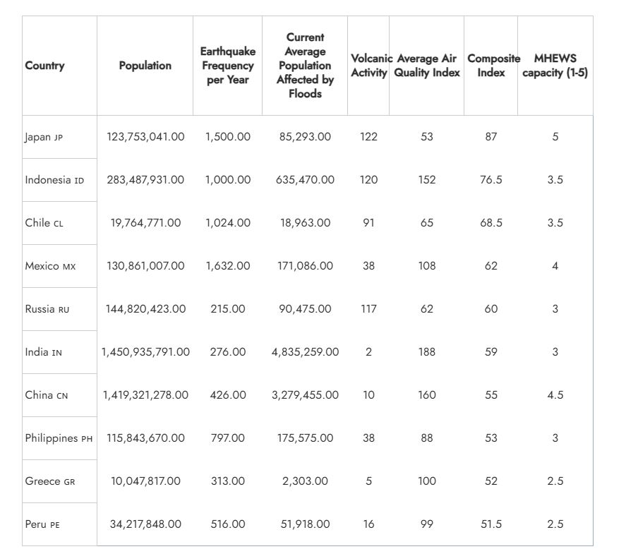
Η Ελλάδα είναι στην 9η θέση στη λίστα για τους κινδύνους φυσικών καταστροφών / πηγή: Ιntersec
Τουρισμός και φυσικές καταστροφές
Στην έρευνα του δημοσιογραφικού οργανισμού Journo Report και της εταιρείας Intersec, που ασχολείται με θέματα διεθνούς πολιτικής προστασίας και ασφάλειας, η Ελλάδα φιγουράρει στην ένατη θέση στη λίστα με τους «Δέκα τουριστικούς προορισμούς που είναι πιο επιρρεπείς σε φυσικές καταστροφές».
Στην πρώτη θέση βρίσκεται η Ιαπωνία, κυρίως λόγω των σεισμών και των πλημμυρικών φαινομένων, αλλά και της ηφαιστειακής δραστηριότητας. Η βαθμολογία της στον Σύνθετο Δείκτη Επικινδυνότητας για φυσικές καταστροφές είναι 87 στα 100. Την πρώτη τριάδα συμπληρώνουν για παρόμοιους λόγους η Ινδονησία και η Χιλή με 76,5 και 68 στα 100.
Ως προς την Ελλάδα, ο κίνδυνος φυσικών καταστροφών αξιολογείται με 52 στα 100, λόγω της ευαλωτότητας της χώρας σε σεισμούς και πλημμύρες. «Καταγράφοντας σε ετήσια βάση περίπου 131 σεισμούς και με τους κινδύνους πλημμύρας να επηρεάζουν πάνω από 2.300 άτομα, οι ταξιδιώτες πρέπει να λαμβάνουν προφυλάξεις, ιδιαίτερα όταν εξερευνούν ορεινές ή παράκτιες περιοχές», σημείωνει η έρευνα. Οι κίνδυνοι πυρκαγιών δεν περιλαμβάνονται, αφού δεν θεωρούνται φυσικές αλλά ανθρωπογενείς καταστροφές.

Η τουριστική φήμη της Αθήνας τον Ιούλιο του 2024 κατρακύλησε, λόγω του καύσωνα
Τουρισμός και Δείκτης Συναισθήματος
Η έρευνα για την ταξιδιωτική διαδικτυακή φήμη της Ελλάδας και της Αθήνας αποτυπώνεται σε γράφημα που παρουσιάζει τις διακυμάνσεις του Δείκτη NSI, κατά τη διάρκεια της θερινής τουριστικής σεζόν. Στο ίδιο γράφημα αποτυπώνεται η πορεία του Δείκτη σε άλλους τέσσερις μεσογειακούς προορισμούς: την Ισπανία, την Πορτογαλία, την Ιταλία και την ανερχόμενη Κροατία – που έχει πρόσβαση στη Μεσόγειο μέσω της Αδριατικής.
Τον Ιούνιο, τις μέρες του ακραίου καύσωνα η φήμη της Αθήνας κατρακύλησε σε αρνητικά επίπεδα, στο -8. Όπως σημειώνεται, οι υψηλές θερμοκρασίες «κατέστησαν πολύ δύσκολες τις επισκέψεις σε αξιοθέατα, με αποτέλεσμα να σημειωθούν λιποθυμίες». Τον ίδιο μήνα βουτιά έκανε και η γενική τουριστική φήμη της Ελλάδας, μόλις στο 7, με άριστα το 100. Τα ρεπορτάζ για τους καύσωνες, τους θανάτους και τις εξαφανίσεις τουριστών (είχαμε τουλάχιστον 5 νεκρούς μόνο τον Ιούνιο), αλλά και η πυρκαγιά στην Ύδρα, από τους «μπουρλοτιέρηδες» ολιγάρχες από το Αϊζερμπαϊτζάν, έριξαν τη διεθνή φήμη της Ελλάδας στο 7.
Πυρκαγιές και ξηρασία
Η Αθήνα ήταν πηγή αρνητικών σχολίων και τον Αύγουστο. Οι καταστροφικές πυρκαγιές στην Ανατολική Αττική κάλυψαν με πυκνό γκρίζο καπνό όλο το λεκανοπέδιο – άρα και τα τουριστικά χοτ-σποτ – δίνοντας στους τουρίστες μια γεύση του τι βιώνουν κάθε καλοκαίρι οι κάτοικοι της πρωτεύουσας.
Τα περιβαλλοντικά ζητήματα ήταν η βασική πηγή αρνητικών σχολίων, όχι μόνο για την Ελλάδα αλλά και συνολικά για τη νότια Ευρώπη. Η ξηρασία, η λειψυδρία, οι συνθήκες ερημοποίησης λόγω των υψηλών θερμοκρασιών κυριάρχησαν στις συζητήσεις. Παραδόξως, από την έρευνα λείπουν οι αναφορές στον υπερτουρισμό, ένα θέμα που σφράγισε και φέτος το καλοκαίρι τον δημόσιο διάλογο, με διεθνή αφιερώματα που περιλάμβαναν και την Ελλάδα.
- Γιάννης Βογιατζής: Έγινε 100 χρόνων, το αφιέρωμα της Finos Film
- Κινγκς – Μπακς 98-115: «Βασιλιάς» Αντετοκούνμπο στο Σακραμέντο και μεγάλο διπλό για τους Κινγκς
- Κραν Μοντανά: Ταυτοποιήθηκαν τα θύματα της τραγωδίας – 40 νεκροί εκ των οποίων 20 ανήλικοι
- Αλλάζει τον ενεργειακό χάρτη του πλανήτη η επέμβαση Τραμπ στη Βενεζουέλα;
- Ναν: «Είμαι έτοιμος, δεν είμαι καθόλου κουρασμένος»
- Γιώργος Παπαδάκης: Με δάκρυα και βαθιά συγκίνηση τον αποχαιρετούν οι συνεργάτες του στο «Καλημέρα Ελλάδα»
- Patti Smith: Η ιέρεια του punk επιστρέφει στην Αθήνα
- Ντάνι Ρόλινγκ: Ένας serial killer, πέντε νεκροί φοιτητές και η ιστορία πίσω από τη ταινία «Scream»
Ακολουθήστε το in.gr στο Google News και μάθετε πρώτοι όλες τις ειδήσεις





![Άκρως Ζωδιακό: Τα Do’s και Don’ts στα ζώδια σήμερα [Δευτέρα 05.01.2026]](https://www.in.gr/wp-content/uploads/2026/01/cody-board-w59DM6d6uxM-unsplash-128x85.jpg)


















































































Αριθμός Πιστοποίησης Μ.Η.Τ.232442