Ενίσχυση 28 εκατ. € στους Δήμους για κάλυψη λειτουργικών αναγκών των σχολείων
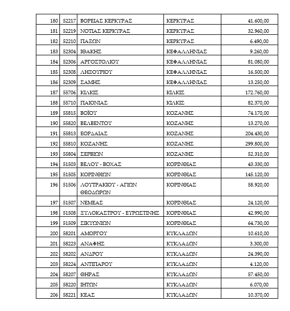
Με 28 εκατ. ευρώ ενισχύει το υπουργείο Εσωτερικών τους δήμους όλης της χώρας για την κάλυψη των λειτουργικών αναγκών των σχολείων πρωτοβάθμιας και δευτεροβάθμιας εκπαίδευσης αρμοδιότητας τους.
Με 28 εκατ. ευρώ ενισχύει το υπουργείο Εσωτερικών τους δήμους όλης της χώρας για την κάλυψη των λειτουργικών αναγκών των σχολείων πρωτοβάθμιας και δευτεροβάθμιας εκπαίδευσης αρμοδιότητας τους.
Συγκεκριμένα τα χρήματα κατανέμονται με απόφαση του υπουργού Εσωτερικών Τάκη Θεοδωρικάκου από τους Κεντρικούς Αυτοτελείς Πόρους στους 332 δήμους της χώρας ως εξής:

- Τσιτσιπάς – Σαποβάλοφ 1-2: Πρόωρος αποκλεισμός στο Indian Wells
- Ολοκληρώθηκαν οι πρώτες επιχειρήσεις επαναπατρισμού στη Μέση Ανατολή – Επέστρεψαν 162 Έλληνες πολίτες
- Κίνηση: Χαμηλές ταχύτητες στον Κηφισό – Πού αλλού υπάρχουν προβλήματα
- Εκνευρίστηκε ο Αντετοκούνμπο μετά την ήττα των Μπακς: Πέταξε την μπάλα και τιμωρήθηκε με τεχνική ποινή
- Εξαπάτησαν ηλικιωμένη στο Ρέθυμνο – Συνελήφθησαν σε καμπίνα πλοίου με χρυσαφικά και δεκάδες χρυσές λίρες
- Καταγγελίες για παράνομο παρκάρισμα με ένα κλικ – Δωρεάν εφαρμογή για τα κακώς κείμενα των πόλεων
- Ενεργειακό σοκ και πληθωρισμός – Γιατί η Ευρώπη θα πληρώσει ακριβά τον πόλεμο κατά του Ιράν
- Το Ιράν έχασε. Το Ισραήλ μπορεί να κερδίσει;
Ακολουθήστε το in.gr στο Google News και μάθετε πρώτοι όλες τις ειδήσεις






![Άκρως Ζωδιακό: Τα Do’s και Don’ts στα ζώδια σήμερα [Πέμπτη 05.03.2026]](https://www.in.gr/wp-content/uploads/2026/03/mindaugas-vitkus-ju-dVR1jkmE-unsplash-1-315x220.jpg)










































































Αριθμός Πιστοποίησης Μ.Η.Τ.232442