Πανελλαδικές 2022: Οι απαντήσεις στα θέματα Λατινικών, Πληροφορικής και Χημείας
Από το φροντιστήριο «Ορόσημο Πειραιά» σε συνεργασία με το in
Τις απαντήσεις στα θέματα των τριών σημερινών εξεταζόμενων μαθημάτων των Γενικών Λυκείων στις Πανελλήνιες 2022 -Λατινικά, Χημεία, Πληροφορική- δίνει το φροντιστήριο «Ορόσημο Πειραιά» σε συνεργασία με το in.
Σε ό,τι αφορά στα Λατινικά, σύμφωνα με τους καθηγητές του φροντιστηρίου, τα θέματα χαρακτηρίζονται από σαφήνεια και δεν παρουσιάζουν δυσκολίες.
Οι ερωτήσεις της εισαγωγής και της ετυμολογίας είναι απλές. Στη γραμματική επίσης τα θέματα είναι βατά, αλλά χρειάζεται προσοχή, διότι σε ορισμένες λέξεις ζητούνται δύο τύποι.
Οι παρατηρήσεις τους συντακτικού είναι, επίσης, απλές και κατανοητές και είναι δυνατόν να απαντηθούν γρήγορα και εύστοχα από τους καλά προετοιμασμένους μαθητές.
Δείτε τις απαντήσεις στα Λατινικά


Δείτε τις απαντήσεις στην Πληροφορική
Αναφορικά με τα θέματα Πληροφορικής προσανατολισμού το Θέμα Α περιλαμβάνει αναμενόμενες ερωτήσεις Σ-Λ και ερωτήσεις/θεωρία από τη ύλη των δέντρων και του αντικειμενοστραφούς προγραμματισμού.
Το δεύτερο θέμα είχε ασκήσεις συμπληρώσεις και μετατροπής, ιδιαίτερης προσοχής. Το Θέμα Γ ήταν αναμενόμενο θέμα συγγραφής προγράμματος (χωρίς χρήση πινάκων), ενώ το θέμα Δ ήταν θέμα προγράμματος με χρήση πινάκων.

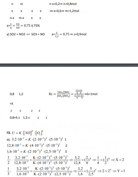
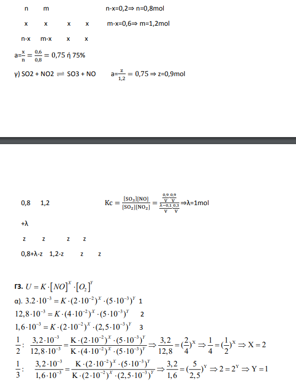
Δείτε τις απαντήσεις στη Χημεία
Σε ό,τι αφορά τα θέματα της Χημείας στο σύνολο τους χαρακτηρίζονται ως μέτριας δυσκολίας. Το Α Θέμα συγκεκριμένα ελέγχει βασικές γνώσεις. Το Β Θέμα έχει αρκετά ερωτήματα και απαιτεί χρόνο είναι όμως μέτριας δυσκολίας.
Το Γ Θέμα είναι και αυτό μέτριας δυσκολίας. Το Δ Θέμα είναι πιο απαιτητικό με το Δ3 να είναι το πιο δύσκολο ερώτημα.

- Τενερίφη: Ακόμα 4 τουρίστες νεκροί στην Ισπανία εξαιτίας γιγάντιων κυμάτων
- Σουδάν: Συνετρίβη μεταγωγικό αεροσκάφος – Δεν υπάρχουν επιζώντες
- Η αστυνομία στο Βερολίνο, μπορεί να μπει σε σπίτια και να εγκαθιστά κατασκοπευτικό λογισμικό
- Υεμένη: Ο Γκουτέρες καταδικάζει την παραπομπή υπαλλήλων του ΟΗΕ σε δίκη από τους Χούθι
- Ένας φοιτητής του Πανεπιστημίου του Κεντάκι πέθανε από πυροβολισμό και ακόμα ένας δίνει μάχη για την ζωή του
- Στα «ΝΕΑ» της Τετάρτης: Ελληνες κυανόκρανοι στη Λωρίδα της Γάζας
- Η πρόεδρος της χώρας καταγγέλλει «εκλογικό» και ψηφιακό «πραξικόπημα» στην Ονδούρα
- Σε προχωρημένες επαφές με τον Μόντε Μόρις ο Ολυμπιακός (vid)
Ακολουθήστε το in.gr στο Google News και μάθετε πρώτοι όλες τις ειδήσεις



![Αγρότες πρόσφεραν κρόκο και μήλα στους διερχόμενους οδηγούς στην Κοζάνη [βίντεο]](https://www.in.gr/wp-content/uploads/2025/12/agrotes77-127x85.jpg)


![Άκρως Ζωδιακό: Τα Do’s και Don’ts στα ζώδια σήμερα [Τετάρτη 10.12.2025]](https://www.in.gr/wp-content/uploads/2025/12/cristofer-maximilian-YK8Mvocj6yE-unsplash-315x220.jpg)



















![Αγρότες πήγαν τούρτα σε αστυνομικό που είχε τα γενέθλιά της [βίντεο]](https://www.in.gr/wp-content/uploads/2025/12/agrotes7-315x220.jpg)

![Αγρότες πρόσφεραν κρόκο και μήλα στους διερχόμενους οδηγούς στην Κοζάνη [βίντεο]](https://www.in.gr/wp-content/uploads/2025/12/agrotes77-315x220.jpg)
























![Αεροπλάνο προσγειώνεται πάνω σε αυτοκίνητο και όλοι επιβιώνουν με γρατζουνιές! [βίντεο]](https://www.in.gr/wp-content/uploads/2025/12/plane-crash231-315x220.jpg)

























Αριθμός Πιστοποίησης Μ.Η.Τ.232442