
Δημόσιες Δαπάνες και ΑΕΙ
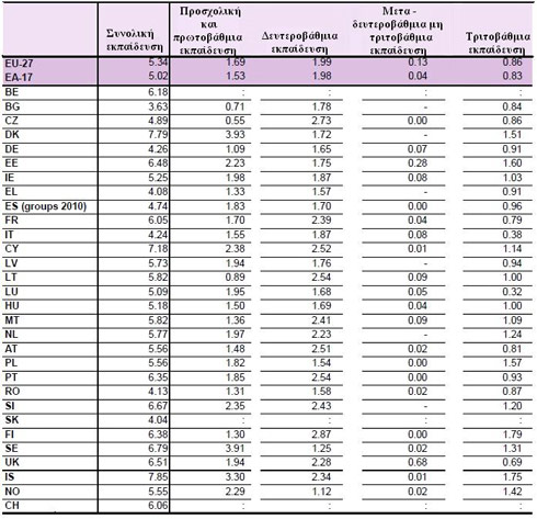
Με βάση τη μελέτη της Ευρωπαϊκής Στατιστικής Υπηρεσίας (Eurostat 2013), γνωρίζουμε ότι οι συνολικές δημόσιες δαπάνες για την εκπαίδευση στην Ελλάδα το 2011 ήταν αρκετά κάτω από τον Ευρωπαϊκό μέσο όρο (ΕΕ-27 5,34% και Ευρωζώνη 5,02%). Κατά το ίδιο έτος όμως, οι δημόσιες δαπάνες για την τριτοβάθμια εκπαίδευση βρίσκονταν στο 0,91% του ΑΕΠ, όντας υψηλότερες από το μέσο όρο της ΕΕ-27 (0,86%) και της Ευρωζώνης (0,83%).
.petrakistable {width:490px;}
.petrakistable td {border:1px solid #cccccc;}
.petrakistable td, .petrakistable p {font-size:10px;}
Με βάση τη
μελέτη της Ευρωπαϊκής Στατιστικής Υπηρεσίας [pdf] (Eurostat 2013), γνωρίζουμε ότι οι συνολικές δημόσιες δαπάνες για την εκπαίδευση στην Ελλάδα το 2011 ήταν αρκετά κάτω από τον Ευρωπαϊκό μέσο όρο (ΕΕ-27 5,34% και Ευρωζώνη 5,02%). Κατά το ίδιο έτος όμως, οι δημόσιες δαπάνες για την τριτοβάθμια εκπαίδευση βρίσκονταν στο 0,91% του ΑΕΠ, όντας υψηλότερες από το μέσο όρο της ΕΕ-27 (0,86%) και της Ευρωζώνης (0,83%). Οι δημόσιες δαπάνες ανά επίπεδο εκπαίδευσης και ανά χώρα συνοψίζονται στον Πίνακα 1.
Πίνακας 1. Δαπάνες Γενικής Κυβέρνησης για την εκπαίδευση, 2011 (% του ΑΕΠ)
Πηγή:
Eurostat (2013) [pdf].
Σημείωση: EU-27: Ευρωπαϊκή Ένωση, EA-17: Ευρωζώνη, BE: Βέλγιο, BG: Βουλγαρία, CZ: Τσεχία, DK: Δανία, DE: Γερμανία, EE: Εσθονία, IE: Ιρλανδία, EL: Ελλάδα, ES: Ισπανία, FR: Γαλλία, IT: Ιταλία, CY: Κύπρος, LV: Λετονία, LT: Λιθουανία, LU: Λουξεμβούργο, HU: Ουγγαρία, MT: Μάλτα, NL: Ολλανδία, AT: Αυστρία, PL: Πολωνία, PT: Πορτογαλία, RO: Ρουμανία, SI: Σλοβενία, SK: Σλοβακία, FI: Φινλανδία, SE: Σουηδία, UK: Ην. Βασίλειο, IS: Ισλανδία, NO: Νορβηγία, CH: Ελβετία.
Όπως όμως αναφέρεται στη
μελέτη της Euridyce [pdf] η οποία αποτελεί το δίκτυο της Ευρωπαϊκής Επιτροπής που παρέχει πληροφορίες και αναλύσεις σχετικά με τα εκπαιδευτικά συστήματα και πολιτικές, “μετά από το ξέσπασμα της οικονομικής κρίσης, περίπου οι μισές Ευρωπαϊκές χώρες μείωσαν τον προϋπολογισμό τους που διατίθεται για την εκπαίδευση, κατά το 2011 και το 2012”.
Το πρώτο μέρος του διαγράμματος (αριστερά), παρουσιάζει τη μείωση των κρατικών δαπανών κατά το έτος 2011 σε σχέση με το 2010 (σε σταθερές τιμές 2010). Το δεύτερο μέρος του διαγράμματος (δεξιά), παρουσιάζει τη μείωση των κρατικών δαπανών κατά το έτος 2012 σε σχέση με το 2011 (σε σταθερές τιμές 2010).
Σύμφωνα λοιπόν με τη μελέτη αυτή, κατά το 2012 «η πιο μεγάλη μείωση των εκπαιδευτικών δαπανών πραγματοποιήθηκε στις περιπτώσεις της Κύπρου, της Ελλάδας, της Λετονίας, της Λιθουανίας και του Ην. Βασιλείου«.
Ειδικότερα για την Ελλάδα, η μείωση των δαπανών φτάνει το 25% για την τριτοβάθμια εκπαίδευση το 2012 (σε σταθερές τιμές 2010) (Διάγραμμα 1).
Διάγραμμα 1. Ποσοστιαία μείωση των δημοσίων δαπανών για την τριτοβάθμια και την ενήλικη εκπαίδευση κατά το 2012 και το 2011 σε σχέση με το προηγούμενο έτος (σε σταθερές τιμές 2010)

Κάντε κλικ στην εικόνα για μεγαλύτερο μέγεθος
Πηγή:
Eurydice – Funding of Education in Europe 2000-2012: The impact of the economic crisis (2013) [pdf].
Με δεδομένη λοιπόν τη μείωση των δημοσίων δαπανών για την τριτοβάθμια εκπαίδευση κατά 25% το 2012 σε σχέση με το 2011, προκύπτει ότι οι δαπάνες για την τριτοβάθμια εκπαίδευση από 0,91% του ΑΕΠ το 2011, έπεσαν στο 0,73% του ΑΕΠ το 2012.
Συμπερασματικά, οι Πίνακες 2 και 3 συνοψίζουν τις δαπάνες για την τριτοβάθμια εκπαίδευση κατά τα έτη 2011 και 2012 ως ποσοστό του ΑΕΠ, και το κατά κεφαλήν ΑΕΠ, για τις χώρες στις οποίες υπήρχαν διαθέσιμα στοιχεία. Τα στοιχεία για τις δημόσιες δαπάνες προκύπτουν με βάση το ΑΕΠ των χωρών, τις δημόσιες δαπάνες για τριτοβάθμια εκπαίδευση που προκύπτουν από τον Πίνακα 1 και τις μεταβολές στις δαπάνες που προκύπτουν από το Διάγραμμα 1. Οι Πίνακες 2 και 3 παρουσιάζονται με βάση την κατάταξη των χωρών.
Πίνακας 2. Δαπάνες Γενικής Κυβέρνησης για την τριτοβάθμια εκπαίδευση (% του ΑΕΠ) και κατά κεφαλήν ΑΕΠ ($ ΗΠΑ), 2011
Κατάταξη | Κατά Κεφαλήν ΑΕΠ | Κατάταξη | Δημόσιες Δαπάνες για Τριτοβάθμια Εκπαίδευση | ||
1 | Νορβηγία | 98664,4 | 1 | Φινλανδία | 1,79% |
2 | Δανία | 60010,5 | 2 | Ισλανδία | 1,75% |
3 | Αυστρία | 49687,5 | 3 | Εσθονία | 1,60% |
4 | Φινλανδία | 48813,8 | 4 | Πολωνία | 1,57% |
5 | Ιρλανδία | 48356,0 | 5 | Δανία | 1,51% |
6 | Γαλλία | 44034,4 | 6 | Νορβηγία | 1,42% |
7 | Ισλανδία | 43136,3 | 7 | Κύπρος | 1,14% |
8 | Ην. Βασίλειο | 38758,6 | 8 | Μάλτα | 1,09% |
9 | Ιταλία | 36227,3 | 9 | Ιρλανδία | 1,03% |
10 | Κύπρος | 29021,3 | 10 | Λιθουανία | 1,00% |
11 | Ελλάδα | 25474,3 | 11 | Λετονία | 0,94% |
12 | Μάλτα | 21923,6 | 12 | Ελλάδα | 0,91% |
13 | Τσεχία | 20616,0 | 13 | Ρουμανία | 0,87% |
14 | Εσθονία | 16560,9 | 14 | Τσεχία | 0,86% |
15 | Λιθουανία | 14146,0 | 15 | Βουλγαρία | 0,84% |
16 | Λετονία | 13728,0 | 16 | Αυστρία | 0,81% |
17 | Πολωνία | 13340,8 | 17 | Γαλλία | 0,79% |
18 | Ρουμανία | 8539,6 | 18 | Ην. Βασίλειο | 0,69% |
19 | Βουλγαρία | 7311,8 | 19 | Ιταλία | 0,38% |
Πίνακας 3. Δαπάνες Γενικής Κυβέρνησης για την τριτοβάθμια εκπαίδευση (% του ΑΕΠ) και κατά κεφαλήν ΑΕΠ ($ ΗΠΑ), 2012
Κατάταξη | Κατά Κεφαλήν ΑΕΠ | Κατάταξη | Δημόσιες Δαπάνες για Τριτοβάθμια Εκπαίδευση | ||
1 | Νορβηγία | 99461,6 | 1 | Ισλανδία | 1,79% |
2 | Δανία | 56202,2 | 2 | Φινλανδία | 1,75% |
3 | Αυστρία | 47083,0 | 3 | Εσθονία | 1,59% |
4 | Φινλανδία | 46098,3 | 4 | Πολωνία | 1,49% |
5 | Ιρλανδία | 45888,3 | 5 | Δανία | 1,49% |
6 | Ισλανδία | 41739,2 | 6 | Νορβηγία | 1,42% |
7 | Γαλλία | 41140,7 | 7 | Μάλτα | 1,20% |
8 | Ην. Βασίλειο | 38588,8 | 8 | Ιρλανδία | 0,95% |
9 | Ιταλία | 33115,0 | 9 | Ρουμανία | 0,88% |
10 | Κύπρος | 26389,1 | 10 | Βουλγαρία | 0,84% |
11 | Ελλάδα | 22055,4 | 11 | Κύπρος | 0,81% |
12 | Μάλτα | 20852,4 | 12 | Τσεχία | 0,81% |
13 | Τσεχία | 18579,3 | 13 | Αυστρία | 0,79% |
14 | Εσθονία | 16319,8 | 14 | Γαλλία | 0,79% |
15 | Λιθουανία | 14018,4 | 15 | Λετονία | 0,78% |
16 | Λετονία | 13899,9 | 16 | Ελλάδα | 0,73% (0,56%)* |
17 | Πολωνία | 12537,9 | 17 | Λιθουανία | 0,68% |
18 | Ρουμανία | 7934,9 | 18 | Ην. Βασίλειο | 0,66% |
19 | Βουλγαρία | 7033,4 | 19 | Ιταλία | 0,38% |
Σημείωση: *Για την περίπτωση της Ελλάδας, η παρένθεση στις δημόσιες δαπάνες για τριτοβάθμια εκπαίδευση αφορά στις δαπάνες του Τακτικού Προϋπολογισμού για το έτος 2013.
Τονίζεται ότι από το 2012 η Ελλάδα, όσον αφορά στις δημόσιες δαπάνες για την τριτοβάθμια εκπαίδευση, ήταν τέταρτη από το τέλος! Από αυτό προκύπτει μια αναλογικότερη σοβαρή μείωση των δαπανών για την τριτοβάθμια εκπαίδευση και μάλιστα πολύ μεγαλύτερη από αυτό που επιβάλουν οι συνθήκες ύφεσης. Μάλιστα, στην Ελλάδα, με βάση την
κατανομή των πιστώσεων του Τακτικού Προϋπολογισμού για το 2013, κατά το 2013 οι δαπάνες του Τακτικού Προϋπολογισμού για την τριτοβάθμια εκπαίδευση (πανεπιστημιακός και τεχνολογικός τομέας) θα αγγίξουν τα €0,9 δις, όταν για το 2012 ήταν €1,22 δις και για το 2011 ήταν €1,63 δις. Το ποσό αυτό για το 2013 αφορά στο 0,56% του ΑΕΠ, πρόκειται δηλαδή για μία νέα μείωση κατά 26,7% σε σχέση με το 2012 (Πίνακας 4)!!!
Πίνακας 4. Χρηματοδότηση τριτοβάθμιας εκπαίδευσης το 2012 και το 2013 (ποσοστό του ΑΕΠ) από τον Τακτικό Προϋπολογισμό
2012 | 2013 | |
ΑΕΠ (δις ευρώ) | 168,4 | 161,4 |
Προϋπολογισμός Υπουργείου Παιδείας (δις ευρώ) | 5,7 | 5,2 |
Προϋπολογισμός Πανεπιστημιακού Τομέα ((δις ευρώ) | 0,9 | 0,7 |
Προϋπολογισμός Τεχνολογικού Τομέα (δις ευρώ) | 0,3 | 0,2 |
Πανεπιστημιακός + Τεχνολογικός Τομέας (δις ευρώ) | 1,2 | 0,9 |
Υπουργείο Παιδείας / ΑΕΠ (%) | 3,38% | 3,22% |
Πανεπιστημιακός Τομέας / ΑΕΠ (%) | 0,53% | 0,43% |
Τεχνολογικός Τομέας / ΑΕΠ (%) | 0,18% | 0,12% |
Πανεπιστημιακός + Τεχνολογικός Τομέας / ΑΕΠ (%) | 0,73% | 0,56% |
Πηγή: Κατανομή πιστώσεων τακτικού προϋπολογισμού Υπουργείου Παιδείας [pdf]
2012 και
2013 και
AMECO database.
Σημείωση: Εκτιμούμε ότι οι επενδύσεις του ΠΔΕ και το 2012 και το 2013 για τον Πανεπιστημιακό και τον Τεχνολογικό τομέα είναι μικρότερες από €200 εκατομ. και δεν επηρεάζουν αξιόλογα τα τελικά ποσοστά.
Πετράκης Παναγιώτης
Καθηγητής ΕΚΠΑ
In Deep Analysis
Καθ. Παναγιώτης Ε. Πετράκης
- Γαλλία: Drones εθεάθησαν πάνω από τη βάση πυρηνοκίνητων υποβρυχίων στην Μπρεστ
- Ο αθέατος πόλεμος μεταξύ των διαιτητών
- Ποιοι τουρίστες επιλέγουν την Αθήνα – Οι δύο σημαντικότερες αγορές
- ΣΥΡΙΖΑ: Πού πάνε τα χρήματα του Ταμείου Ανάκαμψης; – Διαφήμιση 828.000€ για σιδηροδρομικά που δεν έγιναν
- Ο νέος τουριστικός χάρτης: Γιατί αλλάζουν οι προορισμοί και τι σημαίνει για την οικονομία
- «Κρυφός φόρος» η ακρίβεια στα τρόφιμα – Ο δραματικός αντίκτυπός της στην καθημερινότητα
- «Με έκαψε σήμερα» – Ο Τιμοτέ Σαλαμέ αποκαλύπτει το τελευταίο μήνυμα που έλαβε από τον Λεονάρντο Ντι Κάπριο
- Ερώτηση Κ.Ο. ΠΑΣΟΚ: Σοβαρά στοιχεία για την ύπαρξη σκανδάλου στην διαχείριση κονδυλίων του ΙΝΕΔΙΒΙΜ
Ακολουθήστε το in.gr στο Google News και μάθετε πρώτοι όλες τις ειδήσεις






![Άκρως Ζωδιακό: Τα Do’s και Don’ts στα ζώδια σήμερα [Παρασκευή 05.12.2025]](https://www.in.gr/wp-content/uploads/2025/12/pexels-kammeran-gonzalez-keola-3137381-9559884-315x220.jpg)














































































Αριθμός Πιστοποίησης Μ.Η.Τ.232442