Πανελλαδικές 2020 : Προτεινόμενα θέματα και απαντήσεις στη Φυσική Προσανατολισμού (παλαιό σύστημα)
Για την καλύτερη προετοιμασία των υποψηφίων ενόψει των πανελλαδικών εξετάσεων το in.gr παρουσιάζει προτεινόμενα θέματα για τα υπό εξέταση μαθήματα.
Για την καλύτερη προετοιμασία των υποψηφίων ενόψει των πανελλαδικών εξετάσεων το in.gr παρουσιάζει προτεινόμενα θέματα για τα υπό εξέταση μαθήματα.
Παρακάτω μπορείτε να δείτε προτεινόμενο θέμα Πανελληνίων εξετάσεων Φυσική Προσανατολισμού Γ’ Λυκείου, με το παλαιό σύστημα.
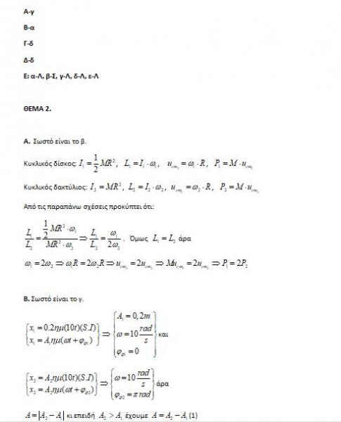
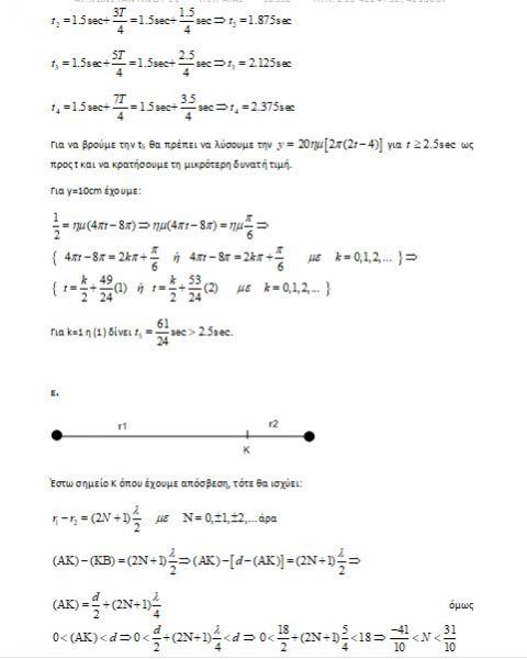
Θέματα

Λύσεις

Με συνεργασία του φροντιστηρίου Ορόσημο.
- Λίβανος: 13 νεκροί από ισραηλινά πλήγματα – Αναμεσά τους παιδί, γυναίκα και 2 διασώστες
- ΗΠΑ – Τουρκία: Αμερικανοί βουλευτές ζητούν εξηγήσεις για την πιθανή επαναπροσέγγιση στο θέμα των F-35
- Στα «ΝΕΑ» της Τετάρτης: Γιατί;
- Eurovision 2026: Ξεσήκωσε το κοινό ο Akylas και προκρίθηκε στον μεγάλο τελικό του Σαββάτου
- Βρετανία: Ο Στάρμερ προς το παρόν διασώθηκε – Αλλά η εξουσία του είναι επισφαλής
- Τρόμος στη Μασαχουσέτη: Άνδρας άρχισε να πυροβολεί στη μέση του δρόμου – 11 τραυματίες
- Άκρως Ζωδιακό: Τα Do’s και Don’ts στα ζώδια σήμερα [Τετάρτη 13.05.2026]
- Γιορτή σήμερα 13 Μαΐου – Ποιοι γιορτάζουν | Εορτολόγιο
Ακολουθήστε το in.gr στο Google News και μάθετε πρώτοι όλες τις ειδήσεις






![Άκρως Ζωδιακό: Τα Do’s και Don’ts στα ζώδια σήμερα [Τετάρτη 13.05.2026]](https://www.in.gr/wp-content/uploads/2026/05/pexels-mohammed-abubakr-201794886-16834998-315x220.jpg)






































































Αριθμός Πιστοποίησης Μ.Η.Τ.232442