
Πανελλαδικές 2021: Προτεινόμενο θέμα για τη Φυσική Προσανατολισμού
Για την καλύτερη προετοιμασία των υποψηφίων ενόψει των Πανελλαδικών Εξετάσεων, το in.gr παρουσιάζει προτεινόμενα θέματα για τα υπό εξέταση μαθήματα.
Για την καλύτερη προετοιμασία των υποψηφίων ενόψει των Πανελλαδικών Εξετάσεων, το in.gr παρουσιάζει προτεινόμενα θέματα για τα υπό εξέταση μαθήματα.
Παρακάτω μπορείτε να δείτε προτεινόμενα θέματα και τις απαντήσεις για τη Φυσική Προσανατολισμού.
Προτεινόμενο θέμα
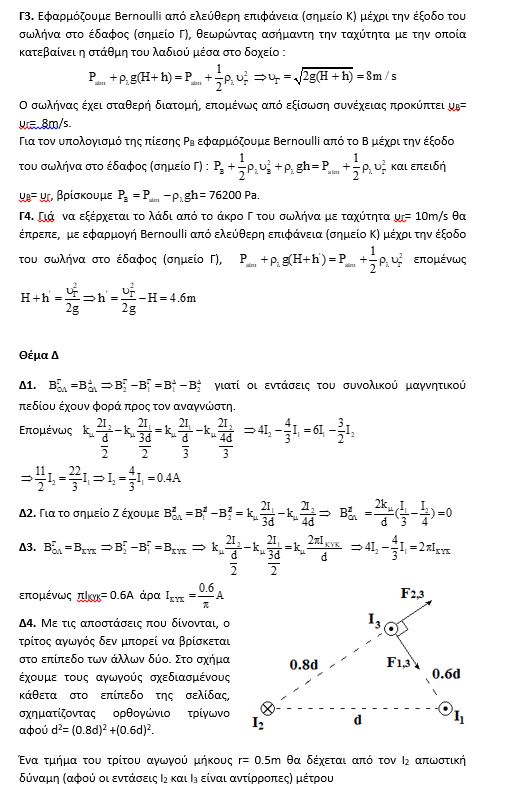
Απαντήσεις
- Συνταγή: Chimichanga με κοτόπουλο και αβοκάντο
- Ο πόλεμος θα τελειώσει σύντομα, λέει ο Τραμπ – Συνεχίζονται οι ισραηλινοί βομβαρδισμοί στον Λίβανο
- Τι έδειξε μια νέα έρευνα για τη μεσογειακή διατροφή;
- Ανεβαίνει ο υδράργυρος – Καλοκαιρινός ο καιρός και σήμερα
- Γυναίκες ξαναγράφουν την ιστορία στη Wikipedia: Ένας αγώνας ενάντια στην ανισότητα
- Σε έχω δει, κάπου σε ξέρω: Η επιστήμη γνωρίζει γιατί ξεχνάμε εύκολα τα ονόματα κάποιων





