
Πανελλαδικές 2021: Δείτε τα περσινά θέματα στη Χημεία (νέο σύστημα)
Για την καλύτερη προετοιμασία των υποψηφίων ενόψει των Πανελλαδικών Εξετάσεων, το in.gr παρουσιάζει προτεινόμενα θέματα για τα υπό εξέταση μαθήματα.
Για την καλύτερη προετοιμασία των υποψηφίων ενόψει των Πανελλαδικών Εξετάσεων, το in.gr παρουσιάζει προτεινόμενα θέματα για τα υπό εξέταση μαθήματα.
Παρακάτω μπορείτε να δείτε το περσινό θέμα (2020) για τη Χημεία Προσανατολισμού με το νέο σύστημα.
Προτεινόμενο θέμα
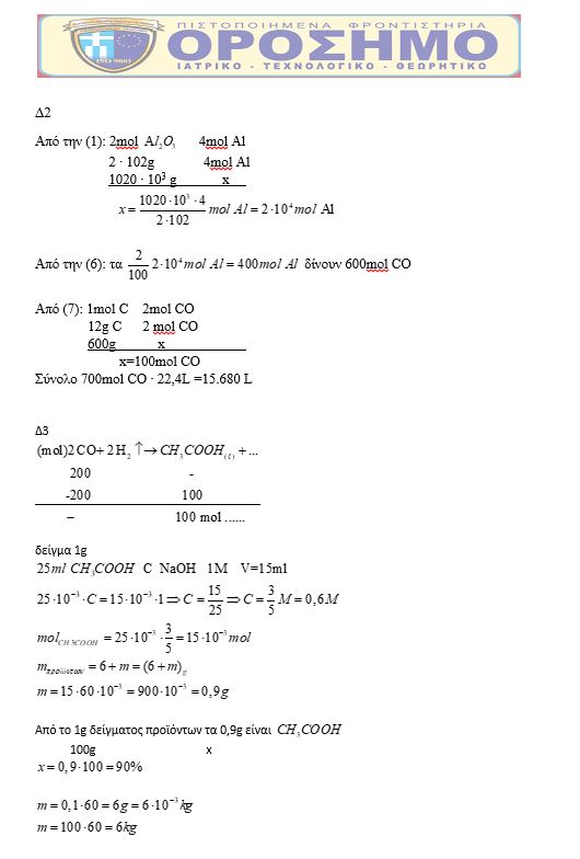
Απαντήσεις
- «Κέντρα επαναπροώθησης»: Πώς η απέλαση μεταναστών εκτός της ΕΕ θέτει σε κίνδυνο τα ανθρώπινα δικαιώματα
- Τσακ Νόρις: Το ξέσπασμα της οικογένειας του για ψεύτικα video γύρω από τον θάνατο του – Η οργισμένη ανακοίνωση
- Αγρίνιο: Συνελήφθη άνδρας με πυροβόλο όπλο και σφαίρα στη θαλάμη
- Η Nova φέρνει τη νέα εποχή συνδεσιμότητας
- Ανδουλάκης προς ΝΔ: «Είστε ένα σύστημα εξουσίας αδίστακτο- Εκλογές να τελειώνουμε»
- Κρεμλίνο: «Έτοιμος ο Πούτιν για ρόλο μεσολαβητή στον πόλεμο με το Ιράν»


