Πέμπτη 30 Απριλίου 2026
weather-icon 22o
Οι απαντήσεις σε Ανάπτυξη Εφαρμογών, Ιστορία και Φυσική

Οι απαντήσεις σε Ανάπτυξη Εφαρμογών, Ιστορία και Φυσική

Σε μαθήματα προσανατολισμού και συγκεκριμένα σε Ιστορία, Φυσική και Ανάπτυξη Προγραμματισμού διαγωνίστηκαν οι υποψήφιοι των Πανελληνίων σήμερα.

Σε μαθήματα προσανατολισμού και συγκεκριμένα σε Ιστορία, Φυσική και Ανάπτυξη Εφαρμογών διαγωνίστηκαν οι υποψήφιοι των Πανελληνίων 2019 σήμερα.

Συγκεκριμένα, λίγο μετά τις 10 βγήκαν τα θέματα σε όλα τα μαθήματα που έδωσαν σήμερα οι υποψήφιοι. 

Εν συνεχεία, τα φροντιστήρια “Φλωρόπουλος” έδωσαν στην δημοσιότητα τις πρώτες απαντήσεις για τα θέματα της Ιστορίας,  για την Ανάπτυξη Εφαρμογών και για την Φυσική.

Δείτε ΕΔΩ τις απαντήσεις στα θέματα της Ιστορίας στις Πανελλήνιες 2019.

Δείτε ΕΔΩ τις απαντήσεις στα θέματα της Ανάπτυξης Εφαρμογών

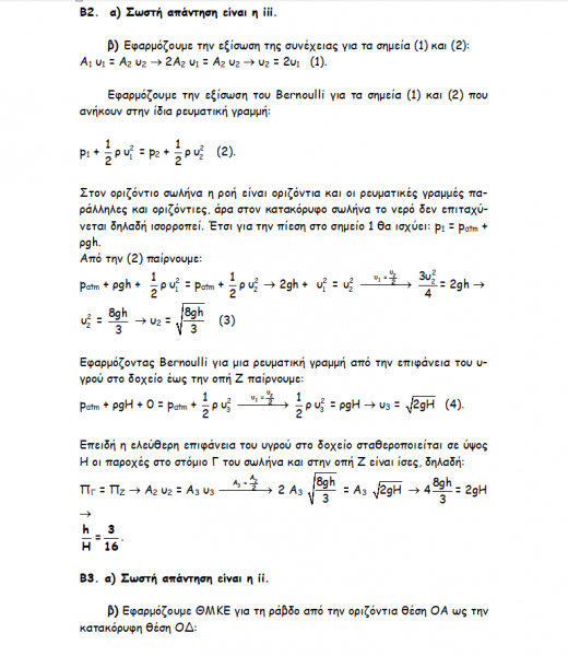
Δείτε τις ΕΔΩ τις απαντήσεις στα θέματα της Φυσικής

Ακολουθήστε το in.gr στο Google News και μάθετε πρώτοι όλες τις ειδήσεις

in.gr | Ταυτότητα

Διαχειριστής - Διευθυντής: Λευτέρης Θ. Χαραλαμπόπουλος

Διευθύντρια Σύνταξης: Αργυρώ Τσατσούλη

Ιδιοκτησία - Δικαιούχος domain name: ALTER EGO MEDIA A.E.

Νόμιμος Εκπρόσωπος: Ιωάννης Βρέντζος

Έδρα - Γραφεία: Λεωφόρος Συγγρού αρ 340, Καλλιθέα, ΤΚ 17673

ΑΦΜ: 800745939, ΔΟΥ: ΚΕΦΟΔΕ ΑΤΤΙΚΗΣ

Ηλεκτρονική διεύθυνση Επικοινωνίας: in@alteregomedia.org, Τηλ. Επικοινωνίας: 2107547007

ΜΗΤ Αριθμός Πιστοποίησης Μ.Η.Τ.232442

Πέμπτη 30 Απριλίου 2026
Cookies